發布于:2019/10/8 9:06:57 點擊量:130
在化工生產過程中,一個工藝過程的控制是否平穩,超調量、衰減比、擾動是否在規定的范圍內,除了工藝設計合理、設備先進外,重要的一點就是調節閥能否按照主體控制意識準確動作,從而精確地改變物料或能量。如果調節閥的流量特性差、滲漏大、動作不可靠,就會使自動控制過程的質量變差,甚至失去調節作用,從而增加了勞動強度,給生產帶來重大的經濟損失。因此,調節閥的選擇顯得非常重要。氣動薄膜調節閥因具有調節性能好、結構簡單、動作可靠、維護方便、防火防爆及價廉等優點,而被廣泛用于化工生產過程控制中。那么如何選擇合適的氣動薄膜調節閥呢?這要從以下幾方面進行。
1調節閥類型的選擇
化工生產過程中,被調節的介質特性千差萬別,有的高壓,有的高粘度,有的有腐蝕性,而且流體的流動狀態也各不相同,有的流量很小,有的流量很大。因此,必須選擇合適類型的調節閥去滿足不同的要求。
1.1調節閥結構形式的選擇
在選擇調節閥的結構形式時,主要是根據現場被控工藝介質的特點、工藝生產條件和控制要求等,結合調節閥本身的流量特性和結構特點來選擇。如用于大口徑、大流量、低壓差或濃濁漿狀及懸浮顆粒物的介質調節時,可選用氣動薄膜調節蝶閥;當要求直角連接,介質為高粘度、含懸浮物和顆粒狀介質的調節時,可選用流路簡單、阻力小、易于沖洗的氣動薄膜角型調節閥;當調節脫鹽水介質時,由于脫鹽水介質中含有低濃度的酸或堿,它們對襯橡膠的蝶閥、隔膜閥有較大的腐蝕性,因此可選用水處理專用球閥,以延長使用壽命;當要求閥在小開度時工作,就不應選用雙座閥,因雙座閥有兩個閥芯,其下閥芯處于流閉狀態,穩定性差,易引起閥的振蕩。
此外,選用調節閥時,還應考慮調節閥的閥芯型式。閥芯是調節閥最關鍵的零件,有直行程閥芯和角行程閥芯兩大類。直行程調節閥閥芯是垂直節流的,而介質是水平流進流出的,閥腔內流道必然轉彎倒拐,使閥的流路形狀如倒"S"型,因而存在許多死區,為介質的沉淀提供了空間,易造成堵塞。角行程調節閥的閥芯是水平節流的,與介質的進出方向一致,因此易把不干凈介質帶走,而且流路簡單,介質沉淀空間少,故其防堵性能好。
再次,還應考慮調節閥上閥蓋的形式和所用的填料。當介質溫度為-20~200℃時,應選用普通型閥蓋;當溫度高于200℃時,應選用散熱型閥蓋;當溫度低于-20℃時,應選用長頸型閥蓋;在有劇毒、易揮發、易滲透等重要介質的場合,應選用波紋管密封型閥蓋。上閥蓋填料室中的填料有聚四氟乙烯或石墨填料,前者摩擦系數小,可減少回差,且密封性好;后者使用壽命長,但密封性差。
1.2調節閥作用方式的選擇
調節閥氣開、氣關形式的選擇,主要從工藝生產上的安全要求出發,其原則是:當儀表供氣系統發生故障中斷供氣或控制信號中斷時,調節閥處于打開或關閉的位置由其對生產造成危害性大小決定。如閥門處于打開位置時危險性小,則應選氣關閥。
2流量特性的選擇
調節閥的流量特性是指介質通過閥門的相對流量與閥門的相對開度間的關系。在閥前后壓差保持不變時,稱為理想流量特性。生產中常用的有直線型、等百分比型、拋物線型和快開型四種。實際生產中,由于管道系統除了調節閥外,還有其它的串、并聯管道。因此,調節閥前后壓差通常是變化的,這種情況下的流量特性稱為工作流量特性。
流量特性的選擇實質是如何選擇直線和等百分比特性,因為拋物線流量特性介于直線和等百分比之間,一般可用等百分比特性代替;而快開特性用于二位式調節及程序控制中。那么,如何選擇調節閥的流量特性呢?
2.1從調節系統的調節品質分析
原則是:適當選擇調節閥的特性,以閥的放大系數的變化來補償調節對象放大系數的變化,使調節系統的放大系數保持不變的控制效果。若調節對象的放大系數隨負荷增加而變小,則應選用等百分比特性的調節閥;若調節對象的放大系數為線性,則應選用直線流量特性。
2.2從工藝配管情況分析
由于系統配管的情況不同,配管阻力的存在會引起調節閥上壓降的變化,從而使流量特性變化。因此應根據系統的特點來選擇希望得到的工作特性,然后再考慮配管情況來選擇相應的理想特性。流量特性與配管情況對照如下:(S:稱為閥阻比,指調節閥全開時閥前后壓差ΔPmin與系統總壓差ΔP之比。)
配管情況S=1~0.6S=1~0.6S<0.3
閥工作特性直線 等百分比直線 等百分比不宜控制
閥理想特性直線 等百分比等百分比 等百分比不宜控制

2.3從負荷變化情況分析
直線閥在小開度時流量變化大,調節過于靈敏,容易引起振蕩,因此在S小、負荷變化大的場合不宜使用;快開閥一般用于雙位調節和程序控制的場合;等百分比閥的放大系數隨閥門的行程增加而增大,流量相對變化是恒定不變的,因此適用于負荷變化大、幅度大的場合。生產過程自動化中,等百分比特性是應用最廣泛的一種。
3調節閥口徑的選擇
當選定了調節閥的類型和流量特性之后,就可進一步確定它的尺寸。流通能力是確定調節閥口徑的主要依據。所謂流通能力C,是指在調節閥前后壓差為100Kpa、水的密度為1000Kg/m3的條件下,每小時通過閥門的水的立方米數。調節閥口徑選擇按以下步驟進行。
3.1確定調節閥的最大、最小流通能力Cmax、Cmin
先根據生產能力、設備負荷、介質狀態,確定調節閥的最大、最小流量;其次根據工藝管路、設備等組成的系統總壓降大小的變化情況來確定調節閥上的最大最小壓差。然后,選擇合適的計算公式計算出Cmax、Cmin。
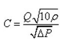
C值的計算方法如下:
液體:

(1)一般液體:
(2)高粘度液體:

Q:流經閥門的體積流量
ΔP:閥前后壓差
ψ:粘度修正系數
ρ:液體密度
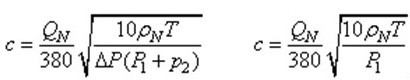
氣體:
(1)一般氣體:
當P2>0.5P1時,當P2≤0.5P1時,

(2)高壓氣體:
當P2>0.5P1時,當P2≤0.5P1時,

z:壓縮系數
ρN:標準狀態下氣體的密度
QN:標準狀態下氣體的流量
T:操作溫度
P1:閥前絕對壓力
P2:閥后絕對壓力
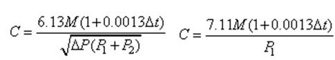
蒸汽:
?。?)飽和蒸汽:
當P2≥0.5P1時,當P2<0.5P1時,

(2)過熱蒸汽:
當P2<0.5P1時,當P2≥0.5P1時,

Δt:過熱蒸汽溫度
K:修正系數
M:蒸汽質量流量
P1:閥前絕對壓力
P2:閥后絕對壓力
ΔP1:閥前后壓力
部分國產調節閥流通能力C值表

3.2根據計算得到的最大流通能力Cmax和已確定的調節閥類型,在調節閥選型樣板該系列調節閥額定流通能力Cmax中,選取大于并接近于此Cmax的C值,作為選定的C值,并確定對應的公稱直徑和閥門直徑。
3.3驗算調節閥開度
?。?)根據所選擇的C值和流量特性,驗算閥的開度。一般閥的開度為應全行程的90%~10%,即驗算:

(2)一般情況下,等百分比閥最大流量時對應開度宜為90%,直線閥宜為70%,拋物線閥宜為80%。
3.4驗算可調比
可調比R是指調節閥所能控制的最大流量與最小流量之比,即R=Qmax/Qmin。因在選用調節閥口徑時已使閥的C值大于計算的Cmax值,故應驗算R是否小于所選閥的實際可調比,即:

值得注意的是:調節閥的選型比計算重要得多,復雜得多。因為計算只是一個簡單的公式計算,它的本身不在于公式的精確度,而在于所給定的工藝參數是否準確。選型涉及到的內容較多,稍不慎,便會導致選型不當,不僅造成人力、物力、財力的浪費,而且使用效果還不理想,帶來若干使用問題,如可靠性、壽命、運行質量等。
本文鏈接:http://www.baoshancasting.com/news/detail/20191008090657.html
版權所有 © 自力式壓力調節閥-氣動調節閥-電動調節閥-氮封閥廠家 浙ICP備18052799號-2